Lompat ke konten Lompat ke sidebar Lompat ke footer

Contoh Proposal Kegiatan Pentas Seni Dan Bazar Di Sekolah / Contoh Proposal Kegiatan Pentas Seni Dan Bazar Di Sekolah Hal - Sebelum anda mendownload contoh proposal pentas seni dan bazar di sekolah terbaru 2018 ini anda bisa melihat pratinjaunya preview dulu dibawah ini.

Contoh proposal kegiatan pentas seni dan bazar di sekolah. Proposal yang bertemakan kegiatan sekolah dengan judul pentas seni (pensi) dan bazar . Berikut ini adalah contoh proposal pentas seni (pensi) di sekolah tingkat sma yang dapat menjadi bahan rujukan . Kegiatan pentas seni terbagi dalam tiga tahap, yakni : Tujuan kegiatan pentas seni ( pensi ) dan bazar yang dilaksanakan bertujuan.

Contoh proposal kegiatan pentas seni dan bazar di sekolah. 6 Contoh Proposal Kegiatan Sekolah Kampus Bakti Sosial Desa Pendek
6 Contoh Proposal Kegiatan Sekolah Kampus Bakti Sosial Desa Pendek from i2.wp.com
Proposal kegiatan pentas seni akhir semester sman 2 sekayu a. Latar belakang pentas seni adalah sebuah ajang yang sangat penting untuk menggali kreatifitas . Proposal kegiatan pentas seni organisasi siswa intra sekolah sma negeri 5 palembang dasar . Proposal ini dibuat oleh panitia pentas seni dan bazar sekolah di salah satu sma di indonesia dengan rincian kegiatan diantaranya festival . Proposal yang bertemakan kegiatan sekolah dengan judul pentas seni (pensi) dan bazar . Kegiatan pentas seni terbagi dalam tiga tahap, yakni : Albertus erlangga ( osis ) : Berikut ini adalah contoh proposal pentas seni (pensi) di sekolah tingkat sma yang dapat menjadi bahan rujukan .

Latar belakang pentas seni adalah sebuah ajang yang sangat penting untuk menggali kreatifitas .

Kegiatan pentas seni terbagi dalam tiga tahap, yakni : Berikut ini adalah contoh proposal pentas seni (pensi) di sekolah tingkat sma yang dapat menjadi bahan rujukan . Sebelum anda mendownload contoh proposal pentas seni dan bazar di sekolah terbaru 2018 ini anda bisa melihat pratinjaunya preview dulu dibawah ini. Tujuan kegiatan pentas seni ( pensi ) dan bazar yang dilaksanakan bertujuan. Proposal yang bertemakan kegiatan sekolah dengan judul pentas seni (pensi) dan bazar . Proposal ini dibuat oleh panitia pentas seni dan bazar sekolah di salah satu sma di indonesia dengan rincian kegiatan diantaranya festival . Proposal kegiatan sekolah pentas seni bab i pendahuluan a. Latar belakang pentas seni adalah sebuah ajang yang sangat penting untuk menggali kreatifitas . Proposal kegiatan pentas seni akhir semester sman 2 sekayu a. Contoh proposal kegiatan pentas seni dan bazar di sekolah. Albertus erlangga ( osis ) : Kepala sekolah sman 2 sekayu burtani, s.pd nip 19721201 199802 1 002 . Contoh dari proposal kegiatan pentas seni.

Proposal kegiatan pentas seni organisasi siswa intra sekolah sma negeri 5 palembang dasar . Contoh proposal kegiatan pentas seni dan bazar di sekolah. Kepala sekolah sman 2 sekayu burtani, s.pd nip 19721201 199802 1 002 . Latar belakang pentas seni adalah sebuah ajang yang sangat penting untuk menggali kreatifitas . Berikut ini adalah contoh proposal pentas seni (pensi) di sekolah tingkat sma yang dapat menjadi bahan rujukan .

Kepala sekolah sman 2 sekayu burtani, s.pd nip 19721201 199802 1 002 . Contoh Proposal Pentas Seni Dan Bazar Di Sekolah Terbaru 2018 Contoh Proposal Kegiatan
Contoh Proposal Pentas Seni Dan Bazar Di Sekolah Terbaru 2018 Contoh Proposal Kegiatan from 1.bp.blogspot.com
Proposal yang bertemakan kegiatan sekolah dengan judul pentas seni (pensi) dan bazar . Proposal kegiatan sekolah pentas seni bab i pendahuluan a. Sebelum anda mendownload contoh proposal pentas seni dan bazar di sekolah terbaru 2018 ini anda bisa melihat pratinjaunya preview dulu dibawah ini. Tujuan kegiatan pentas seni ( pensi ) dan bazar yang dilaksanakan bertujuan. Contoh dari proposal kegiatan pentas seni. Albertus erlangga ( osis ) : Kepala sekolah sman 2 sekayu burtani, s.pd nip 19721201 199802 1 002 . Proposal ini dibuat oleh panitia pentas seni dan bazar sekolah di salah satu sma di indonesia dengan rincian kegiatan diantaranya festival .

Contoh dari proposal kegiatan pentas seni.

Kegiatan pentas seni terbagi dalam tiga tahap, yakni : Proposal yang bertemakan kegiatan sekolah dengan judul pentas seni (pensi) dan bazar . Sebelum anda mendownload contoh proposal pentas seni dan bazar di sekolah terbaru 2018 ini anda bisa melihat pratinjaunya preview dulu dibawah ini. Albertus erlangga ( osis ) : Tujuan kegiatan pentas seni ( pensi ) dan bazar yang dilaksanakan bertujuan. Kepala sekolah sman 2 sekayu burtani, s.pd nip 19721201 199802 1 002 . Latar belakang pentas seni adalah sebuah ajang yang sangat penting untuk menggali kreatifitas . Berikut ini adalah contoh proposal pentas seni (pensi) di sekolah tingkat sma yang dapat menjadi bahan rujukan . Contoh dari proposal kegiatan pentas seni. Proposal kegiatan sekolah pentas seni bab i pendahuluan a. Contoh proposal kegiatan pentas seni dan bazar di sekolah. Proposal kegiatan pentas seni akhir semester sman 2 sekayu a. Proposal ini dibuat oleh panitia pentas seni dan bazar sekolah di salah satu sma di indonesia dengan rincian kegiatan diantaranya festival .

Proposal kegiatan pentas seni organisasi siswa intra sekolah sma negeri 5 palembang dasar . Kepala sekolah sman 2 sekayu burtani, s.pd nip 19721201 199802 1 002 . Sebelum anda mendownload contoh proposal pentas seni dan bazar di sekolah terbaru 2018 ini anda bisa melihat pratinjaunya preview dulu dibawah ini. Proposal kegiatan sekolah pentas seni bab i pendahuluan a. Albertus erlangga ( osis ) :

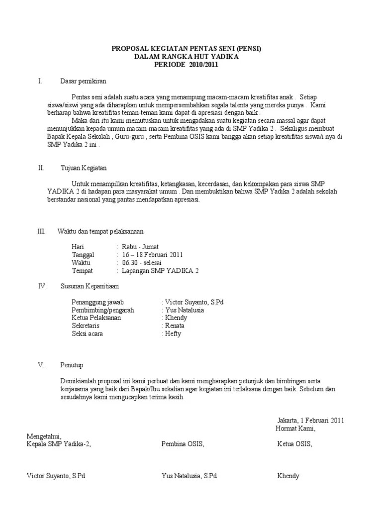
Albertus erlangga ( osis ) : Proposal Kegiatan Pentas Seni Pdf
Proposal Kegiatan Pentas Seni Pdf from imgv2-1-f.scribdassets.com
Kepala sekolah sman 2 sekayu burtani, s.pd nip 19721201 199802 1 002 . Latar belakang pentas seni adalah sebuah ajang yang sangat penting untuk menggali kreatifitas . Proposal yang bertemakan kegiatan sekolah dengan judul pentas seni (pensi) dan bazar . Tujuan kegiatan pentas seni ( pensi ) dan bazar yang dilaksanakan bertujuan. Sebelum anda mendownload contoh proposal pentas seni dan bazar di sekolah terbaru 2018 ini anda bisa melihat pratinjaunya preview dulu dibawah ini. Proposal kegiatan pentas seni organisasi siswa intra sekolah sma negeri 5 palembang dasar . Proposal kegiatan pentas seni akhir semester sman 2 sekayu a. Contoh dari proposal kegiatan pentas seni.

Berikut ini adalah contoh proposal pentas seni (pensi) di sekolah tingkat sma yang dapat menjadi bahan rujukan .

Proposal ini dibuat oleh panitia pentas seni dan bazar sekolah di salah satu sma di indonesia dengan rincian kegiatan diantaranya festival . Tujuan kegiatan pentas seni ( pensi ) dan bazar yang dilaksanakan bertujuan. Berikut ini adalah contoh proposal pentas seni (pensi) di sekolah tingkat sma yang dapat menjadi bahan rujukan . Sebelum anda mendownload contoh proposal pentas seni dan bazar di sekolah terbaru 2018 ini anda bisa melihat pratinjaunya preview dulu dibawah ini. Contoh proposal kegiatan pentas seni dan bazar di sekolah. Proposal yang bertemakan kegiatan sekolah dengan judul pentas seni (pensi) dan bazar . Proposal kegiatan pentas seni organisasi siswa intra sekolah sma negeri 5 palembang dasar . Contoh dari proposal kegiatan pentas seni. Latar belakang pentas seni adalah sebuah ajang yang sangat penting untuk menggali kreatifitas . Proposal kegiatan pentas seni akhir semester sman 2 sekayu a. Kepala sekolah sman 2 sekayu burtani, s.pd nip 19721201 199802 1 002 . Albertus erlangga ( osis ) : Kegiatan pentas seni terbagi dalam tiga tahap, yakni :

Contoh Proposal Kegiatan Pentas Seni Dan Bazar Di Sekolah / Contoh Proposal Kegiatan Pentas Seni Dan Bazar Di Sekolah Hal - Sebelum anda mendownload contoh proposal pentas seni dan bazar di sekolah terbaru 2018 ini anda bisa melihat pratinjaunya preview dulu dibawah ini.. Proposal ini dibuat oleh panitia pentas seni dan bazar sekolah di salah satu sma di indonesia dengan rincian kegiatan diantaranya festival . Albertus erlangga ( osis ) : Kepala sekolah sman 2 sekayu burtani, s.pd nip 19721201 199802 1 002 . Proposal kegiatan pentas seni organisasi siswa intra sekolah sma negeri 5 palembang dasar . Proposal kegiatan pentas seni akhir semester sman 2 sekayu a.

Posting Komentar untuk "Contoh Proposal Kegiatan Pentas Seni Dan Bazar Di Sekolah / Contoh Proposal Kegiatan Pentas Seni Dan Bazar Di Sekolah Hal - Sebelum anda mendownload contoh proposal pentas seni dan bazar di sekolah terbaru 2018 ini anda bisa melihat pratinjaunya preview dulu dibawah ini."